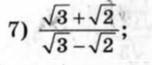
Исключить иррациональность из знаменателя.
Решите ПОЖАЛУЙСТА!!!!ОЧЕНЬ СРОЧНО!!!!! и можно подробно!!!!
Приложения:


Ответы
Ответ дал:
0
Вас заинтересует
2 года назад
2 года назад
2 года назад
2 года назад