• Предмет: Алгебра
  • Автор: ustashilen
  • Вопрос задан 7 лет назад

Помогите решить, на кону семестровая

Приложения:

Ответы

Ответ дал: milanalancova
0

Ответ:

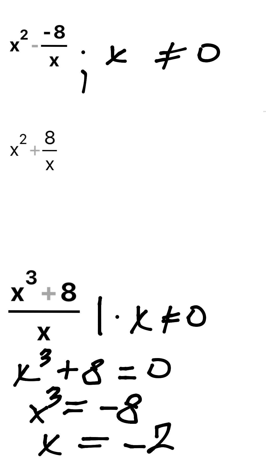
выше

Объяснение:

объяснение на картинке

Приложения:
Ответ дал: 356798
1

Ответ приведён ниже на фото

Примечание: только что увидел, что на твоём фото не вычитание, а равенство. В любом случае, при переносе -8/х в левую сторону ты получишь то же самое, что и на фото :)

Приложения:
Вас заинтересует