Ответы
Ответ дал:
1
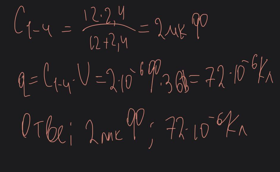
2 мкф
72 мк кл
Объяснение:
Приложения:


Вас заинтересует
2 года назад
2 года назад
2 года назад
8 лет назад
8 лет назад
9 лет назад
9 лет назад