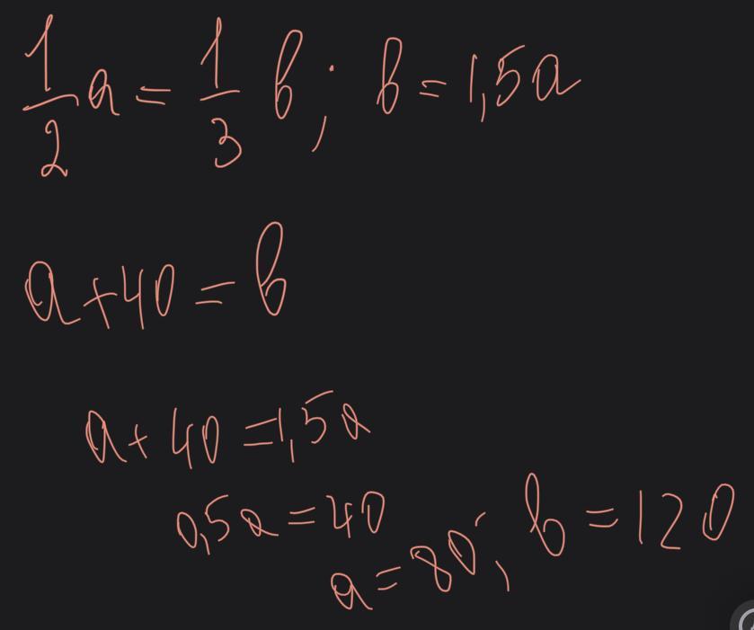
1/2 часть А равна 1/3 части числа В. Найдите числа А и В,если число А меньше чимла В на 40 единиц
Ответы
Ответ дал:
1
Ответ:
80 120
Пошаговое объяснение:
В фото
Приложения:

quliyevcefer17:
спосибо
Ответ дал:
1
Ответ:
1/2а = 1/3в
а+40=в
а=2/3в
2/3в+40=в
40=1/3в
в=120
а=80
Вас заинтересует
2 года назад
2 года назад
2 года назад
2 года назад
8 лет назад
8 лет назад