• Предмет: Математика
  • Автор: dzhalamanovaadiya
  • Вопрос задан 7 лет назад

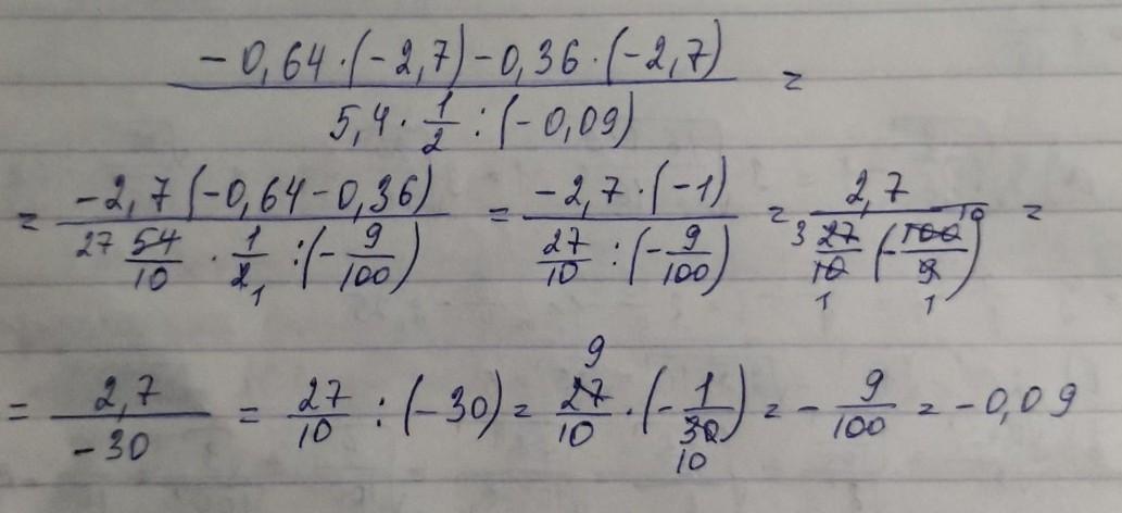
6. найдите начение выражения: 0,64 2,7)-0,36 (-2,7) ( 5.4.(-0,09 2, с решением пожалуйста, умолчю дам 10 балов​

Приложения:

elenamuraweva: напишите нормально выражение. ничего же не понятно
dzhalamanovaadiya: добавила фото

Ответы

Ответ дал: elenamuraweva
12

Ответ:

Подробное решение во вложении

Приложения:

shahminaelzhanova: спасибо
askerovagulhanym: спасибо болшое
amangalievaasmin80: у вас соч а у меня дз
eblanebdanov: дай полный соч
Geshinhutao45: спаасибооо♡︎
alimaaukasova: это правильно?
elenamuraweva: да
nastaprivet71: спасибо, у меня соооочты крутая:)
nastaprivet71: спасибо, у меня соооочты крутая:)
nastaprivet71: спасибо, у меня соооочты крутая:)
Вас заинтересует