• Предмет: Алгебра
  • Автор: zverkovmatvej648
  • Вопрос задан 7 лет назад

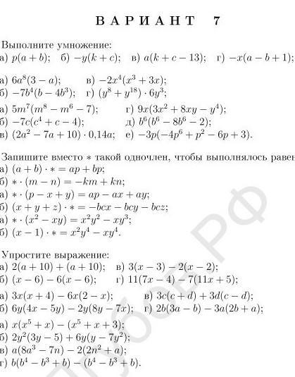
Решите пожалуйста :(((((​

Приложения:

Ответы

Ответ дал: CiGee
0
pa+b;-yk+c;-13ak+c;-1xa+b

18-a^9;28b^8;-6x^8;6y^29


Вас заинтересует