Ответы
Ответ дал:
1
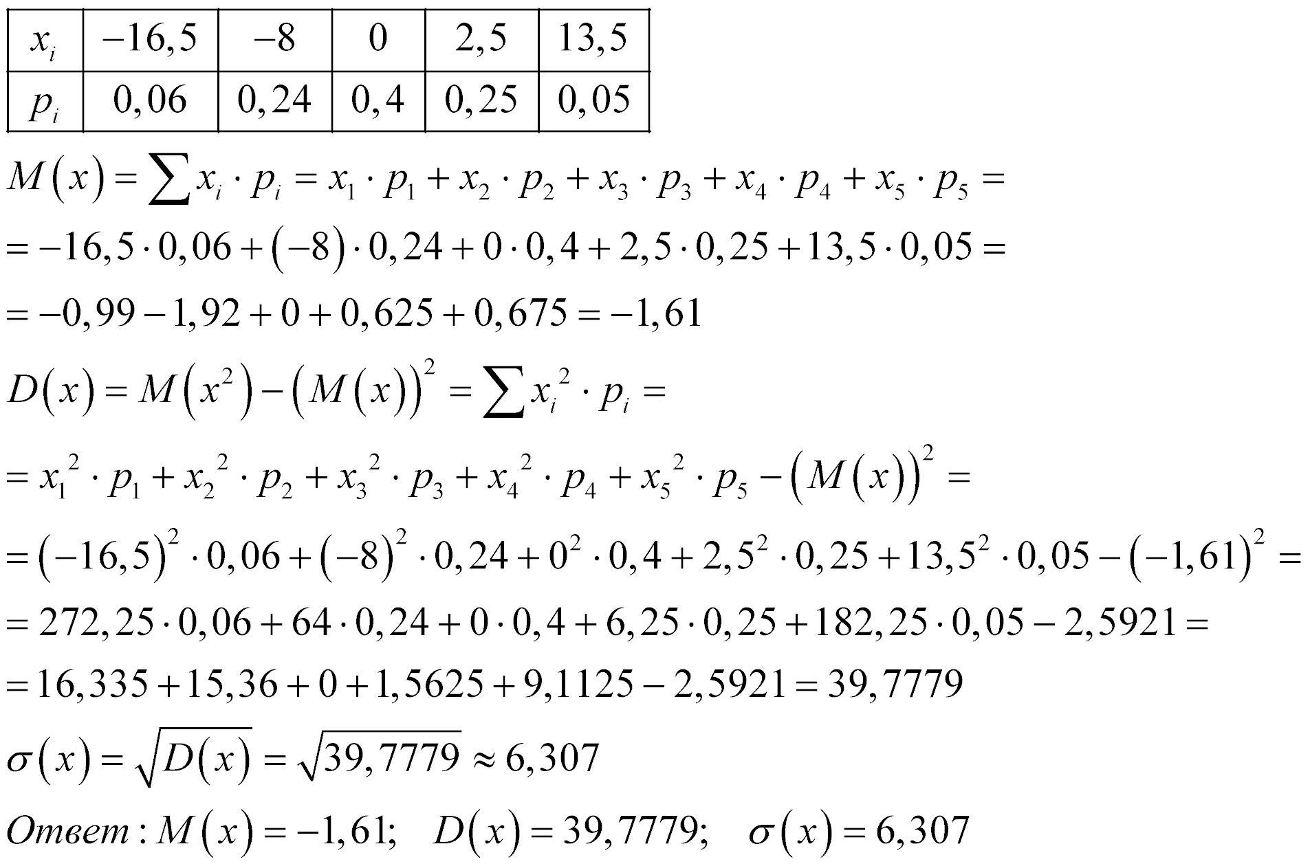
Ответ приведен на фото.
Приложения:

pletnev89501:
реши 12 пожалуйста
Вас заинтересует
2 года назад
2 года назад
8 лет назад
8 лет назад