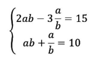
Решите систему уравнений методом замены
С подробным решением, пожалуйста.
Заранее спасибо ☺️
Приложения:

UncleNamedDeath:
Скорее, пожалуйста
Ответы
Ответ дал:
1
Ответ:
Объяснение:
Вас заинтересует
2 года назад
2 года назад
2 года назад
2 года назад
8 лет назад
8 лет назад