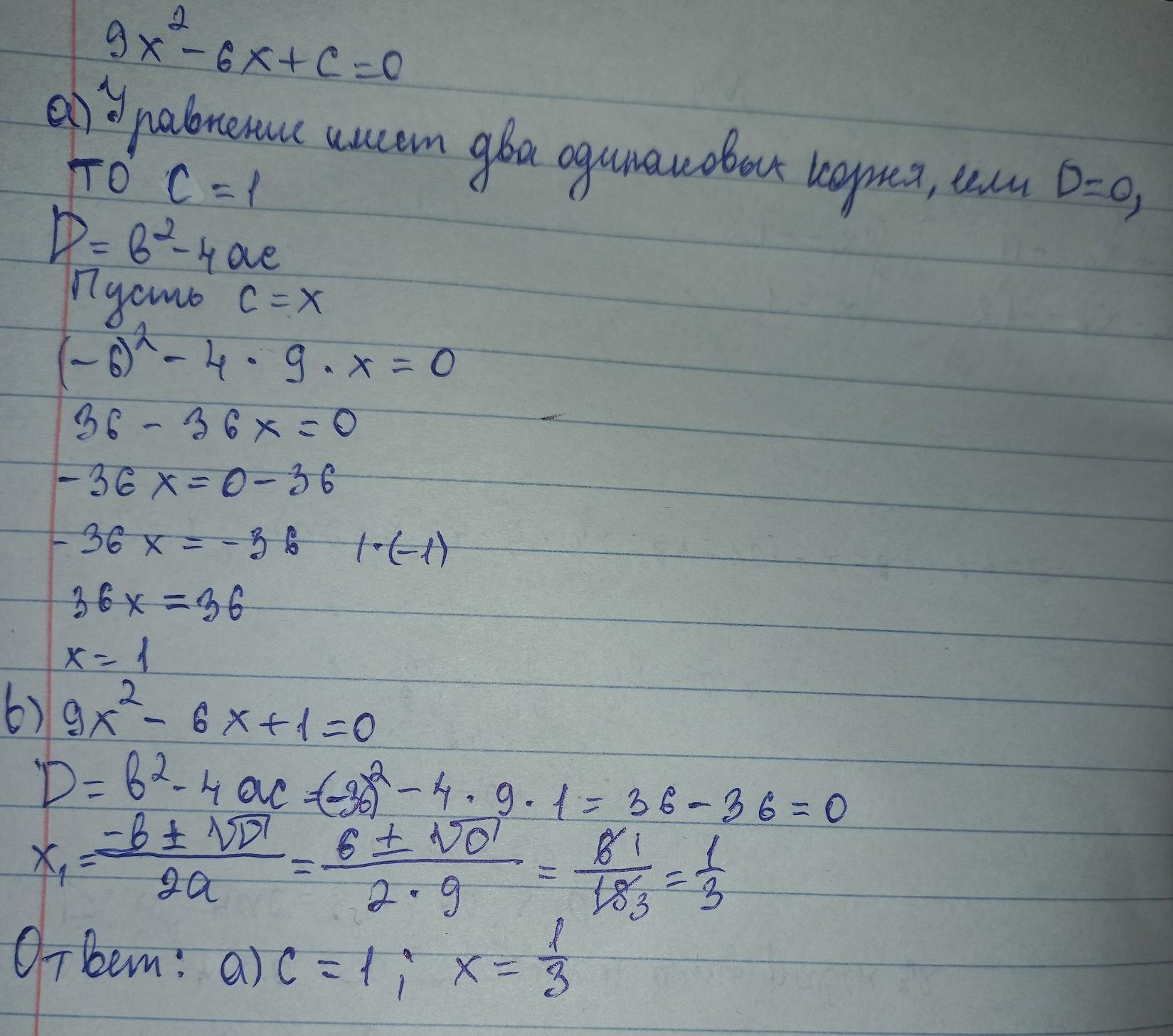
3. Дано квадратное уравнение 9х²- 6х+с= 0.
а) При каких значениях параметра с данное уравнение имеет два одинаковых действительных корня?
b) Найдите эти корни уравнения.
Ответы
Ответ дал:
0
Ответ:
еще нужно??ю293=456$$%^
Приложения:
Вас заинтересует
2 года назад
2 года назад
3 года назад
3 года назад
9 лет назад
9 лет назад
10 лет назад