Помогите решить ( это домашняя контрольная робота)
Даю 80 баллов это тема про "Добуток різниці та суми двох виразів"
Приложения:

ychenuk:
Извини, второе у меня неверно. Всё остальное верно
Ответы
Ответ дал:
1
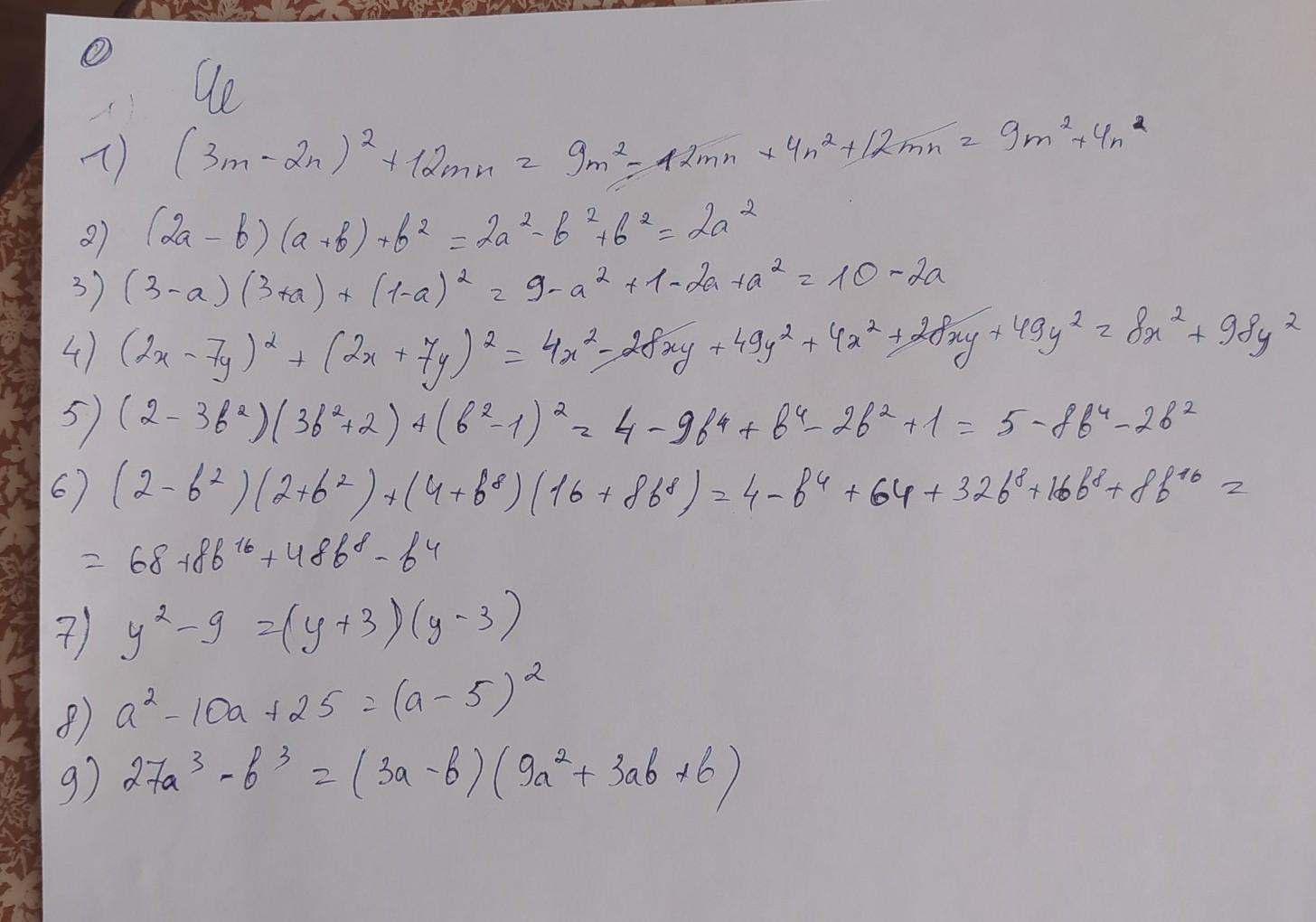
ответ на фото..........
Приложения:

Ответ дал:
1
Ответ:ответ прикреплен. Удачи
Объяснение:
Приложения:

Вас заинтересует
2 года назад
2 года назад
2 года назад
2 года назад
8 лет назад
8 лет назад
9 лет назад