Ответы
Ответ дал:
0
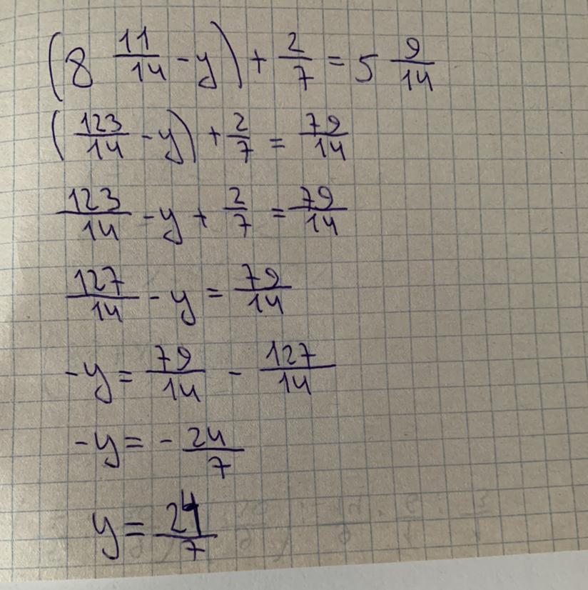
Ответ: (8 11/14-у)+2/7= 5 9/14
8 11/14-у=5 9/14-2/7 \*2
8 11/14-у=5 1/14
у=8 11/14-5 1/14
у=3 10/14=3 5/7
Ответ дал:
0
вот правильное решение
Приложения:

Вас заинтересует
2 года назад
2 года назад
8 лет назад
9 лет назад