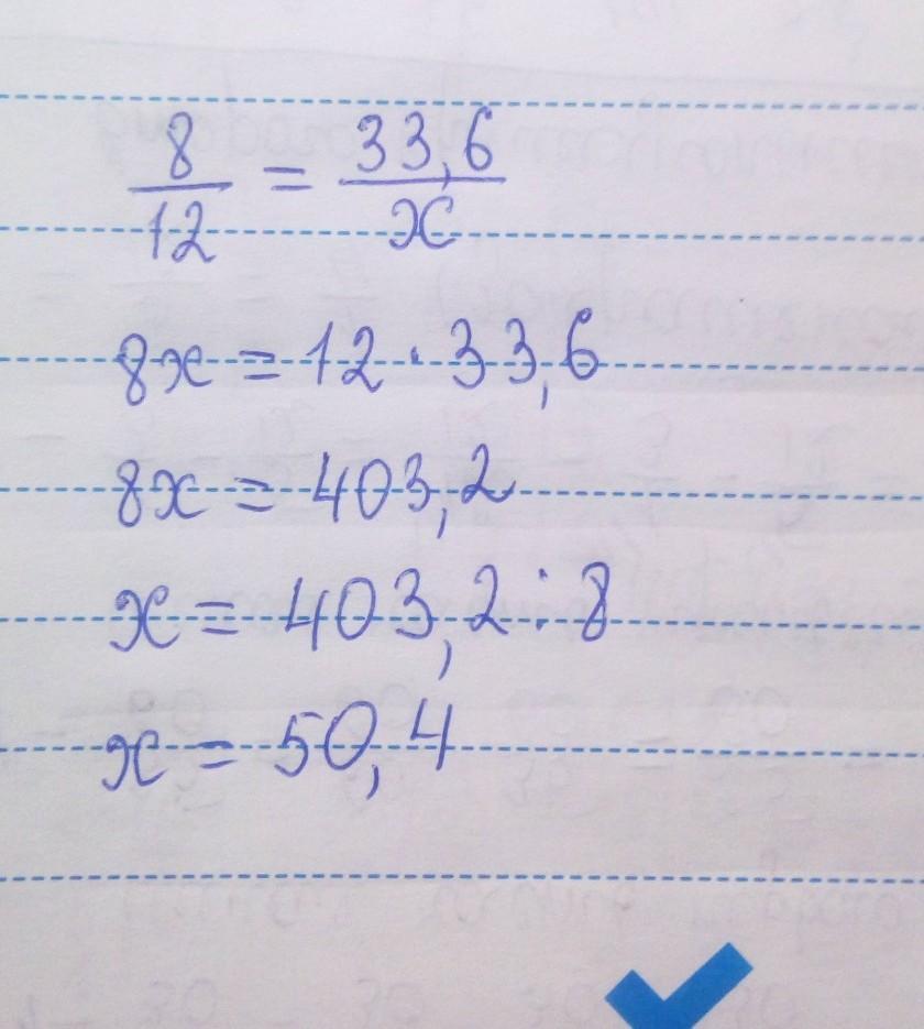
Маса 8 однакових деталей 33,6 кг. Яка маса 12 таких самих деталей?
Треба писати розв'язання. Просто відповідь не можна.
Срочно!
Ответы
Ответ дал:
1
1 способ
1дет.=33,6/8
1дет.=4,2=>12дет.=12х4,2=50,4
2 способ
масса 8 деталей равна 33,6 следовательно масса 1 детали равна 33,6/8=4,2 4,2х12=50,4
Смотри на то как у вас пишет учитель
1дет.=33,6/8
1дет.=4,2=>12дет.=12х4,2=50,4
2 способ
масса 8 деталей равна 33,6 следовательно масса 1 детали равна 33,6/8=4,2 4,2х12=50,4
Смотри на то как у вас пишет учитель
Olaidbw:
Спасибо♥️
Ответ дал:
1
Пошаговое объяснение:
Вот ответ.Может вы так записываете.
Приложения:
Спасибо, вы мне сегодня очень помогли♥️ Я рада, что остались люди, которые помагають другим)
Я в свободное время всегда помогаю.) Главное чтобы ты понимала как это решается.)
Вас заинтересует
2 года назад
2 года назад
3 года назад
9 лет назад
10 лет назад