• Предмет: Математика
  • Автор: morkovka212
  • Вопрос задан 7 лет назад

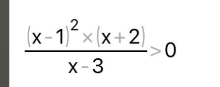
ПОМОГИТЕ ПОЖАЛУЙСТА РЕШИТЬ НЕРАВЕНСТВО

Приложения:

Ответы

Ответ дал: mmb1
0

(x - 1)²(x + 2) / (x - 3) > 0

Метод интервалов

++++++++++(-2) ------------- (1) ------------ (3) ++++++++++

x ∈(-∞, -2) U (3, +∞)

Вас заинтересует