• Предмет: Информатика
  • Автор: supersonichedgehog
  • Вопрос задан 7 лет назад

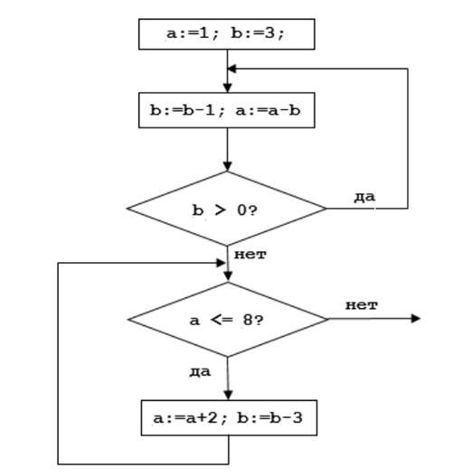
Определите значение переменной b после выполнения фрагмента алгоритма

Приложения:

Ответы

Ответ дал: valgrisa
1

Ответ:

-18

Объяснение:

a = 1

b = 3

b = 3 - 1 = 2

a = 1 - 2 = -1

2 > 0 да

b = 2 - 1 = 1

a = -1 - 1 = -2

1 > 0 да

b = 1 - 1 = 0

a = -2 - 0 = -2

0 > 0 нет (конец первого цикла)

-2 <= 8 да

a = -2 + 2 = 0

b = 0 - 3 = -3

0 <= 8 да

a = 0 + 2 = 2

b = -3 - 3 = -6

2 <= 8 да

a = 2 + 2 = 4

b = -6 - 3 = -9

4 <= 8 да

a = 4 + 2 = 6

b = -9 - 3 = -12

6 <= 8 да

a = 6 + 2 = 8

b = -12 - 3 = -15

8 <= 8 да

a = 8 + 2 = 10

b = -15 - 3 = -18

10 <= 8 нет (конец второго цикла)

Ответ дал: olga0olga76
1

Ответ:

b=-18

Объяснение:

1) a=1, b=3

2) b=3-1=2, a=1-2=-1

3) b=2>0 (да)→

4) b=2-1=1, a=-1-1=-2

5) b=1>0 (да)→

6) b=1-1=0, a=-2-0=-2

7)b=0>0 (нет)→

8) а=-2≤8 (да)→

9) а=-2+2=0, b=0-3=-3

10) а=0≤8 (да)→

11) а=0+2=2, b=-3-3=-6

12) а=2≤8 (да)→

13) а=2+2=4, b=-6-3=-9

14) а=4≤8 (да)→

15) а=4+2=6, b=-9-3=-12

16) а=6≤8 (да)→

17) а=6+2=8, b=-12-3=-15

18) а=8≤8 (да)→

19) а=8+2=10, b=-15-3=-18

20) а=10≤8 (нет)→


supersonichedgehog: У меня есть еще задачи по информатике. Если вы знаете, как их решать, буду премного благодарна за ответ. Оцениваются они тоже хорошо
Вас заинтересует