• Предмет: Алгебра
  • Автор: balzhan29032005
  • Вопрос задан 7 лет назад

Найдите область; найдите решения

Приложения:

Ответы

Ответ дал: bena20193
1

Ответ:

Объяснение:

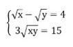
ОДЗ

x≥0 ; y≥0

разделим второе уравнение на 3

√x-√y=4

√x√y=5

решим методом подбора

5-1=4

5*1=5

√x=5 ; √y=1

x=25 ; y=1


balzhan29032005: Спасибо, очень понятно
Вас заинтересует