• Предмет: Алгебра
  • Автор: handsomejackk
  • Вопрос задан 7 лет назад

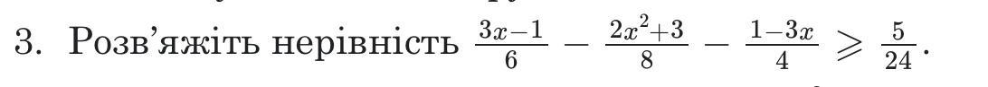
МОЛЮ розв’яжіть нерівність
3x-1/6-2x^2+3/8-1-3x/4>=5/24

Приложения:

Ответы

Ответ дал: bb573878
3

Ответ:

Объяснение:

\displaystyle\\\frac{3x-1}{6} -\frac{2x^2+3}{8} -\frac{1-3x}{4} \geq \frac{5}{24} ~~~~~~|\cdot24\\\\\\4(3x-1)-3(2x^2+3)-6(1-3x)\geq 5\\\\12x-4-6x^2-9-6+18x-5\geq 0\\\\-6x^2+30x-24\geq 0~~~~~~~~|:(-6)\\\\x^2-5x+4\leq 0\\\\po~Vieta~~(x-1)(x-4)\leq 0\\\\znaki:+++[1]---[4]+++>x\\\\Otvet:x\in[1;4]


handsomejackk: спасибо !! :)
skat61469: спасибоо))))))))
Вас заинтересует