• Предмет: Алгебра
  • Автор: annamakoeva20081212
  • Вопрос задан 7 лет назад

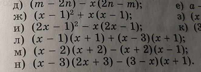
Разложить на многочлены, и пожалуйста примеры "ж" и" л" с объяснением. ДАЮ 50 БАЛЛОВ! ​

Приложения:

annamakoeva20081212: прошу прощения, разложить на множители

Ответы

Ответ дал: fckffs70
1

Д) (1+х)(м-2n)

Ж) (х-1)((х-1)+х)=(х-1)(2х-1)

И) (2х-1)(х-1)

Л) (х+1)((х-1)+(х-3))=(х+1)(2х-4) можно ещё вынести 2 из второй скобки => 2(х+1)(х-2)

М) -1 * (х+2)

Н) (х-3)(3х+4)

Вас заинтересует