• Предмет: Математика
  • Автор: eva2921
  • Вопрос задан 7 лет назад

спасите пж очень срочно​

Приложения:

Ответы

Ответ дал: Аноним
1

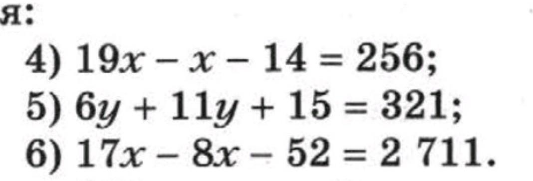
\displaystyle 1)19x-x-14=256\\18x-14=256\\18x=256+14\\18x=270\\x=15\\\\ 2)6y+11y+15=321\\17y+15=321\\17y=321-15\\17y=306\\y=18\\\\ 3)17x-8x-52=2711\\9x-52=2711\\9x=2711+52\\9x=2763\\x=307

Ответ дал: katyapermit
0

Ответ:

19х-х-14=256

18х=270

х=270/18

х=15

6у+11у+15=321

17у=306

у=18

17х-8х-52=2711

9х=2711+52

х=2763/9

х=307

Пошаговое объяснение:

Вас заинтересует