• Предмет: Алгебра
  • Автор: kurbanovilsat2
  • Вопрос задан 7 лет назад

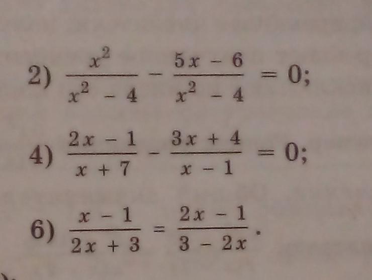
помогите плиис
дам все баллы​

Приложения:

Ответы

Ответ дал: zhansikjudo10
0

Объяснение:

Ггга2733282838383883848328

Вас заинтересует