• Предмет: Математика
  • Автор: aleksmishkova
  • Вопрос задан 7 лет назад

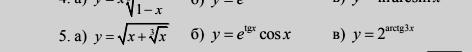
найти производную заданных функций

Приложения:

Ответы

Ответ дал: natalijawirt
0

Ответ:

a)

y'=\frac{1}{2 (\sqrt{x+\sqrt[3]{x} })} (1+\frac{1}{3\sqrt[3]{x^{2}}}  )\\\\

b)

y'=e^{tgx}*( \frac{1}{cos x} -sinx)\\\\

v)

y'=\frac{3*ln2*2^{arctg3x}}{9x^{2}+1}\\

Пошаговое объяснение:

a)

y=\sqrt{x+\sqrt[3]{x} }\\y'=(\sqrt{x+\sqrt[3]{x} })'\\\\y'=\frac{1}{2 (\sqrt{x+\sqrt[3]{x} })} (x+\sqrt[3]{x} )'\\\\y'=\frac{1}{2 (\sqrt{x+\sqrt[3]{x} })} (1+\frac{1}{3\sqrt[3]{x^{2}}}  )\\\\

b)

y=e^{tgx} cosx\\y'=(e^{tgx} )'* cosx+e^{tgx} *(cosx)'\\y'=e^{tgx} *(tgx)'* cosx+e^{tgx} *(-sinx)\\\\y'=e^{tgx} *\frac{1}{cos^{2} x} * cosx-sinx*e^{tgx}\\\\y'=e^{tgx} *\frac{1}{cos x} -sinx*e^{tgx}\\\\y'= \frac{e^{tgx}}{cos x} -sinx*e^{tgx}\\\\y'=e^{tgx}*( \frac{1}{cos x} -sinx)\\\\

v)

y=2^{arctg3x}\\y'=2^{arctg3x}*ln2*(arctg3x)'\\y'=2^{arctg3x}*ln2*\frac{1}{9x^{2}+1} *(3x)'\\\\y'=2^{arctg3x}*ln2*\frac{1}{9x^{2}+1} *3\\\\y'=\frac{2^{arctg3x}*ln2*3}{9x^{2}+1}\\y'=\frac{3*ln2*2^{arctg3x}}{9x^{2}+1}\\

Вас заинтересует