• Предмет: Математика
  • Автор: abdullinamir535
  • Вопрос задан 7 лет назад

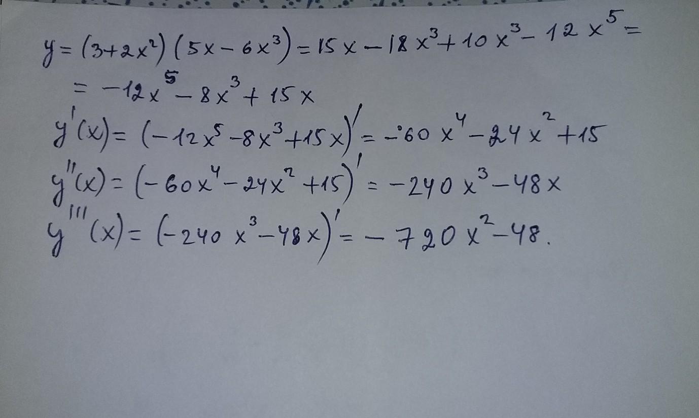
найти производную третьего порядка
y=(3+2x²)(5x-6x³)​​

Ответы

Ответ дал: jalilovis
1

Пошаговое объяснение:

лвлвлвлвлвоовлвлвлвлвлвлвлвлвллвлв

Приложения:

abdullinamir535: странный способ решения
Вас заинтересует