• Предмет: Алгебра
  • Автор: ariratian90
  • Вопрос задан 7 лет назад

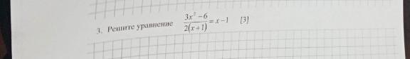
Помогите пожалуйста решить уравнение!!! ​

Приложения:

Ответы

Ответ дал: natabyl
1

Ответ:

-2 ; 2

Объяснение:

см фото

Приложения:
Вас заинтересует