• Предмет: Математика
  • Автор: maksomar2019
  • Вопрос задан 7 лет назад

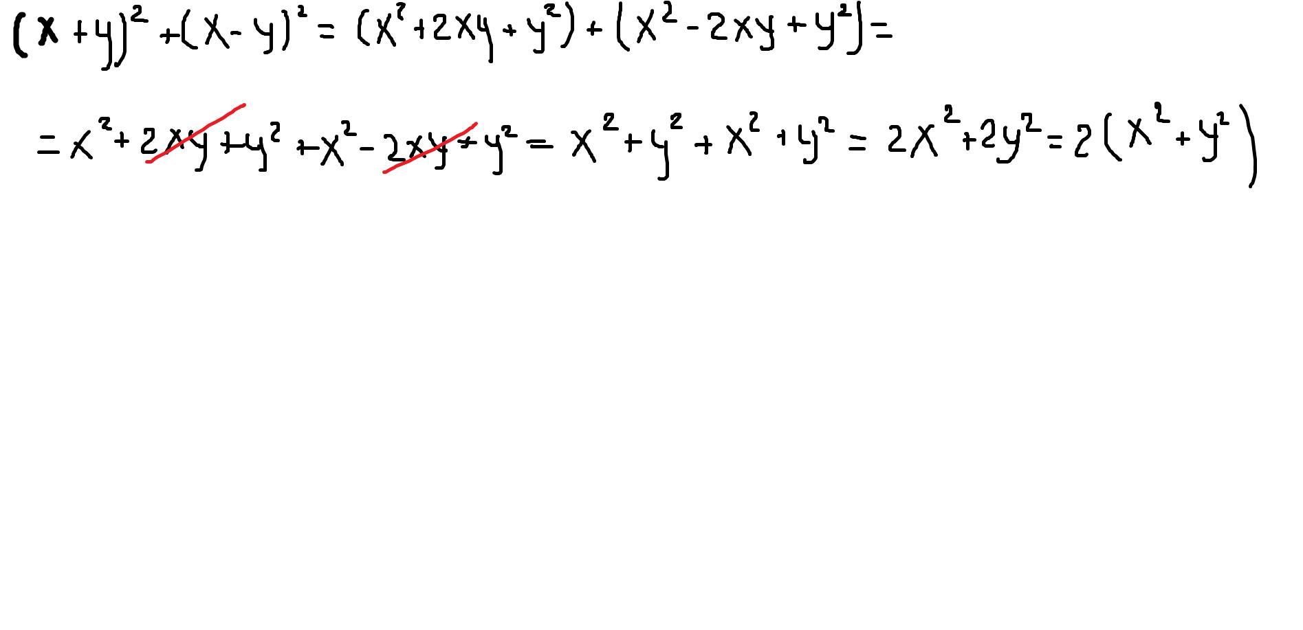
(x+y)²+(x-y)²=
Помоги​


TutorOnline: а что надо сделать?
maksomar2019: спостить
maksomar2019: спростить
TutorOnline: может упростить?
maksomar2019: это я написал на украинском языке
TutorOnline: а-с. великий русский язык.
TutorOnline: ок...

Ответы

Ответ дал: TutorOnline
1

Ответ:

Пошаговое объяснение: всё решение в закрепе.

(x+y)²+(x-y)²=2(х²+у²)

Приложения:
Вас заинтересует