• Предмет: Алгебра
  • Автор: dimas3482
  • Вопрос задан 7 лет назад

Решите неравенство, даю 30 баллов!

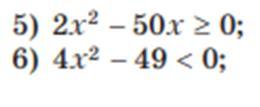
Приложения:

Ответы

Ответ дал: Mnick
1

5)2x {}^{2}  - 50x \geqslant 0 \\ 2x(x - 25) \geqslant 0 \\ x \times (x - 25) \geqslant 0 \\  \\ x \geqslant 0 \\ x - 25 \geqslant 0 \\  \\ x  \leqslant 0 \\ x - 25 \leqslant 0

x Є

( -  \infty .0) \: u \: (25. +  \infty )

6)4x {}^{2}  - 49 < 0 \\ 4x {}^{2}  < 49 \\ x {}^{2}  <  \frac{49}{4}  \\  |x|   <  \frac{7}{2}  \\  \\

х Є

( -  \frac{7}{2} . \frac{7}{2} )

Вас заинтересует