• Предмет: Геометрия
  • Автор: kyokaizymi
  • Вопрос задан 7 лет назад

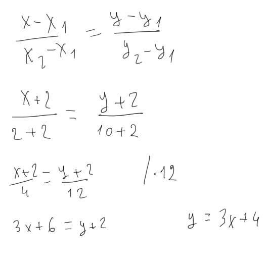
Написати рівняння прямої, що проходить через точки А(-2;-2) В(2;10)
!!!СРОЧНО ПОЖАЛУЙСТА!!! Желательно чтобы было расписанно​

Ответы

Ответ дал: Warlock1
0

Ответ:

ну так

Объяснение:

Приложения:
Вас заинтересует