• Предмет: Математика
  • Автор: nataliabutelga
  • Вопрос задан 7 лет назад

Дуже прошу даю 15 балів

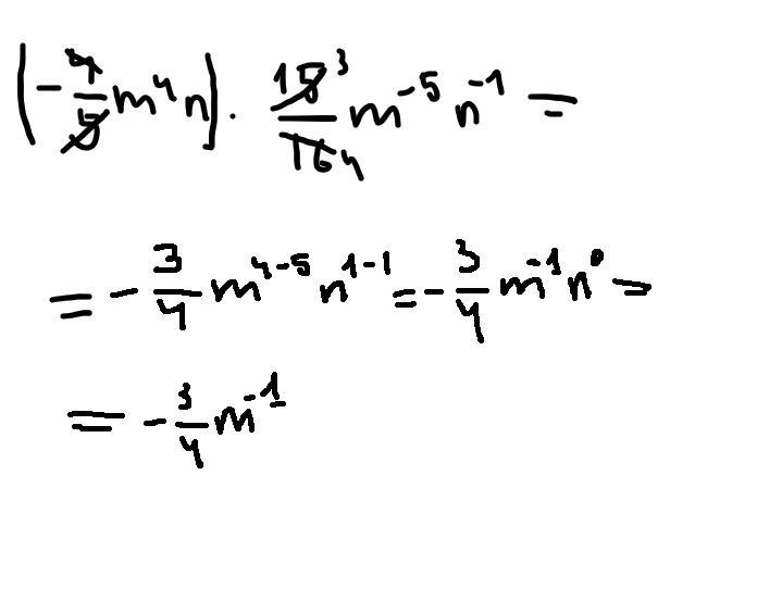
Приложения:

darknestor258: n в какой степени?
nataliabutelga: -1

Ответы

Ответ дал: darknestor258
1

Ответ:

Пошаговое объяснение:

Приложения:
Вас заинтересует