Ответы
Ответ дал:
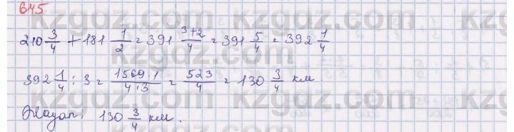
2
Ответ:
это правильный ответ . Удачи
Приложения:

Вас заинтересует
2 года назад
2 года назад
2 года назад
2 года назад
8 лет назад
9 лет назад
9 лет назад