• Предмет: Физика
  • Автор: alicedashko
  • Вопрос задан 7 лет назад

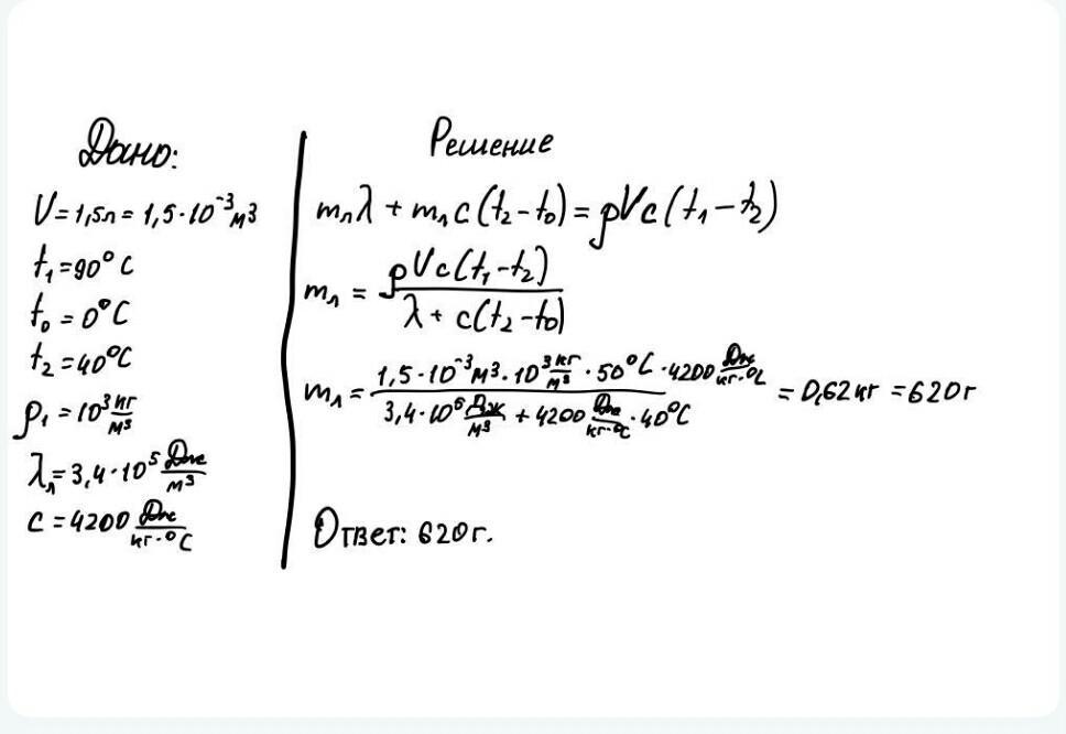
У термосі знаходиться 1,5 л чаю при температурі 90ºС. Яку масу льоду при температурі 0ºС потрібно кинути у термос, щоб чай охолонув до 4о градуси

Ответы

Ответ дал: yarovayakseniya04
0

Відповідь: 620 г

Пояснення:

Приложения:

alicedashko: Да ну епрст
alicedashko: Я не понимаю
alicedashko: Мне бы попроще
alicedashko: Без этим страшних формул
Вас заинтересует