• Предмет: Алгебра
  • Автор: MIshakd777
  • Вопрос задан 7 лет назад

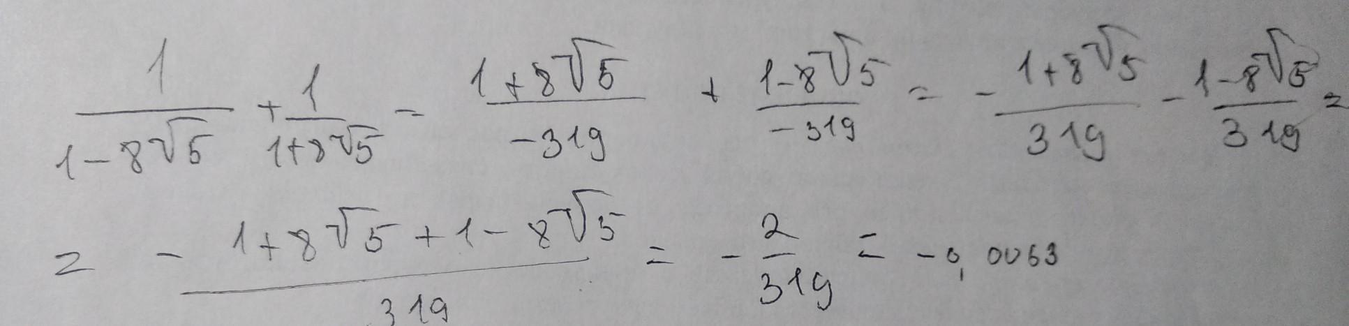
Докажите что значение выражения есть число рацианальное​

Приложения:

Ответы

Ответ дал: nastyamelnichuk07
0

Ответ:

:)))))))))))))))))))))))))

Приложения:
Вас заинтересует