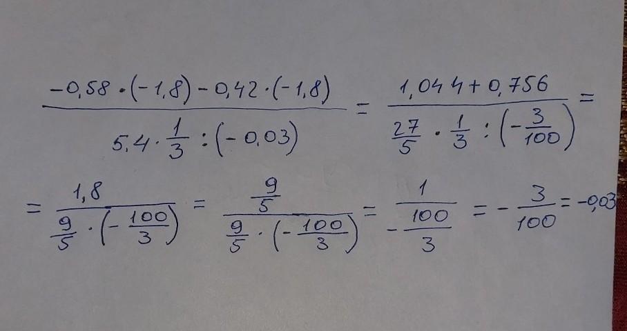
Найдите значение выражения-0,58*(-1,8)-0,42*(-1,8)/5,4*1/3:(-0,03) СРОЧНО ПОМОГИТЕ!! ну пожалуйста <3
Приложения:

juratnakhalboyev:
ok
Ответы
Ответ дал:
14
Пошаговое объяснение:
Я ответил на все вопросы
Приложения:

Вас заинтересует
2 года назад
2 года назад
2 года назад
8 лет назад
8 лет назад
9 лет назад