• Предмет: Алгебра
  • Автор: leqw1dofficial
  • Вопрос задан 7 лет назад

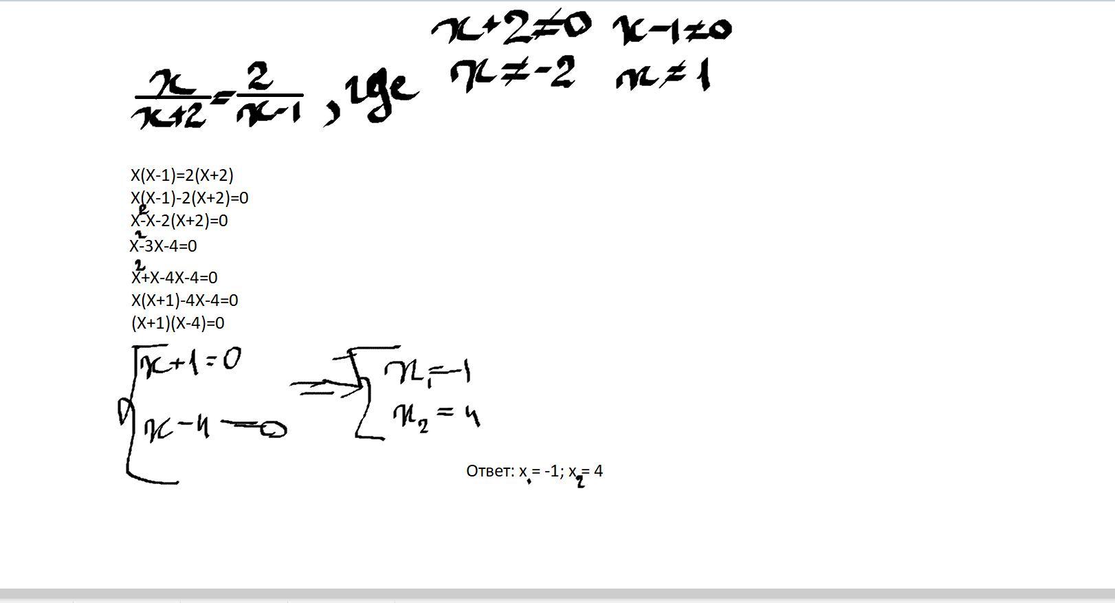
3. Решите уравнение ​

Приложения:

Ответы

Ответ дал: krestighooli
1

решение прикреплено:

.........................................

(решаем через пропорцию)

Приложения:
Вас заинтересует