Ответы
Ответ дал:
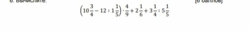
1
#☆`вам удачи! ~♡А и ещё не забудьте поставить звёздачку и лайк!♡¿ пока пока☆♡
Приложения:

Вас заинтересует
2 года назад
2 года назад
2 года назад
2 года назад
8 лет назад
9 лет назад