• Предмет: Алгебра
  • Автор: anik200579
  • Вопрос задан 7 лет назад

алгебра задание 2,4 помогите пожалуйста​

Приложения:

Ответы

Ответ дал: NNNLLL54
1

Ответ:

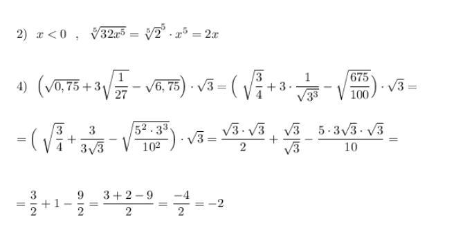
2)\ \ x<0\ \ ,\ \ \sqrt[5]{32x^5}=\sqrt[5]2^5\cdot x^5}=2x\\\\\\4)\ \ \Big(\sqrt{0,75}+3\sqrt{\dfrac{1}{27}}-\sqrt{6,75}\Big)\cdot \sqrt3=\Big(\ \sqrt{\dfrac{3}{4}}+3\cdot \dfrac{1}{\sqrt{3^3}}-\sqrt{\dfrac{675}{100}}\Big)\cdot \sqrt3=\\\\\\=\Big(\ \sqrt{\dfrac{3}{4}}+\dfrac{3}{3\sqrt{3}}-\sqrt{\dfrac{5^2\cdot 3^3}{10^2}}\Big)\cdot \sqrt3=\dfrac{\sqrt3\cdot \sqrt3}{2}}+\dfrac{\sqrt3}{\sqrt{3}}-\dfrac{5\cdot 3\sqrt3\cdot \sqrt3}{10}=

=\dfrac{3}{2}+1-\dfrac{9}{2}=\dfrac{3+2-9}{2}=\dfrac{-4}{2}=-2

Приложения:

anik200579: можно скриншот
anik200579: пожалуйста
Вас заинтересует