• Предмет: Математика
  • Автор: Аноним
  • Вопрос задан 7 лет назад

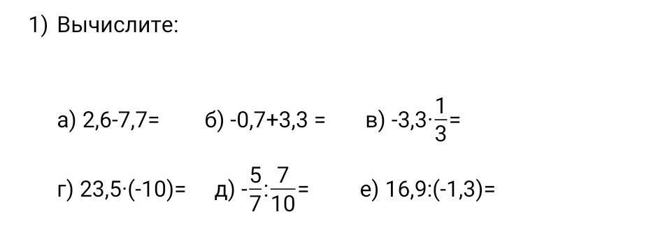
Вычислите: а) 2,6-7,7=
б) -0,7+3,3 =
в) -3,3·1/3=
г) 23,5·(-10)=
д) -5/7:7/10
е) 16,9:(-1,3)= ​

Приложения:

Ответы

Ответ дал: borovikova60
0

Ответ:

-5,1

2,6

-235

-50/49

-13

Вас заинтересует