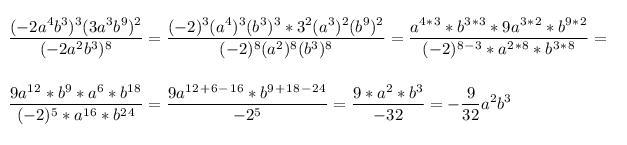
упростите выражение (-2а⁴b³)³*(3a³b⁹)²:(-2a²b³)⁸
ПОМОГИТЕ ПОЖАЛУЙСТА ПРОШУ ОЧЕНЬ НАДО !!!!!!!
karaguzinaemilia:
спасибо большое!!!
Ответы
Ответ дал:
2
Ответ:
Объяснение:
(-2а⁴b³)³*(3a³b⁹)²:(-2a²b³)⁸=
=-8a^12b^9 * 9a^6b^18 : (256a^16b^24)=
=-72a^18b^27 : (256a^16b^24)=
=-72/256 a²b³= -9/32 a²b³
Ответ дал:
1
Ответ предоставлен на фото.
Приложения:

Вас заинтересует
2 года назад
2 года назад
2 года назад
2 года назад
8 лет назад
9 лет назад
9 лет назад