Ответы
Ответ дал:
1
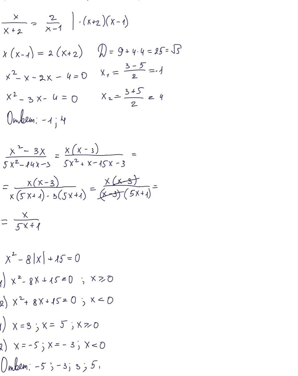
Все ответы на фото, с подробным решением
:)
:)
Приложения:

dreamer312:
Верхняя часть правда не влезла, ОДЗ: x не равно -2 и 1
Вас заинтересует
2 года назад
2 года назад
8 лет назад
9 лет назад