4. В герметическом сосуде содержится кислород массой 32г при температуре 200К. Определите внутреннюю энергию газа
Ответы
Ответ дал:
0
Ответ:
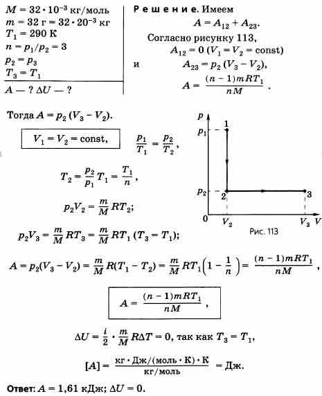
Ответ на фотографии
Объяснение:
Приложения:

Вас заинтересует
2 года назад
2 года назад
2 года назад
2 года назад
8 лет назад
8 лет назад
9 лет назад