1. Даны векторы
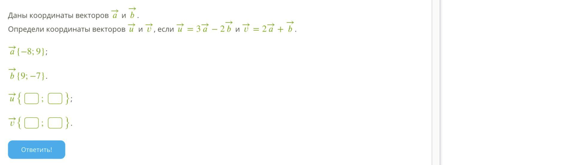
2. Даны координаты векторов
3. Определи длину данных векторов, если известны их координаты.
помогите, пожалуйста
Приложения:



Ответы
Ответ дал:
0
1.√(36+64)=√100=10
√(64+36)=√100=10
√(144+256)=√400=20
√(256+144)=√400=20
чтобы по координатам найти длину вектора, надо
1) возвести в квадрат координаты;
2) сложить эти квадраты;
3) извлечь корень квадратный из суммы квадратов координат.
2. →u=3→а-2→b={-24;27}-{18;-14}{-42;-41} ,
→v=2→a+→b={-16;18}+{9;-7}={-7;11}
3. {-27;9}-{-27;18}={0;-9}
чтобы найти сумму или разность векторов, нужно сложить или вычесть их соответствующие координаты, чтобы умножить вектор на число, надо на это число умножить все координаты.
Вас заинтересует
2 года назад
2 года назад
2 года назад
2 года назад
8 лет назад
8 лет назад