Ответы
Ответ дал:
1
Ответ:
Пошаговое объяснение:
Приложения:

Ответ дал:
2
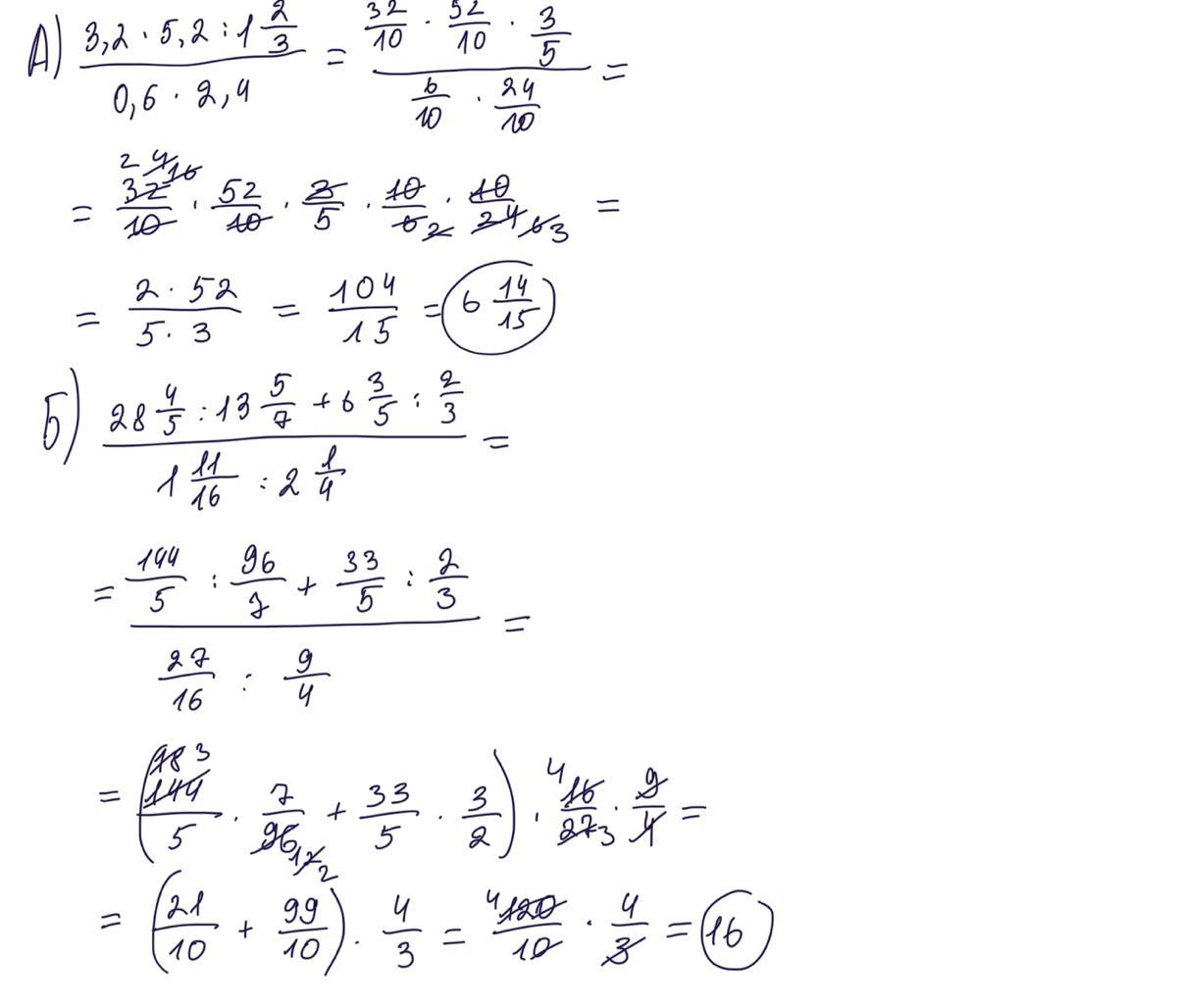
Подробное решение на фото
С первым скорее всего напутала( особенно если там в условии в знаменателе 24 а не 2,4)
С первым скорее всего напутала( особенно если там в условии в знаменателе 24 а не 2,4)
Приложения:

Вас заинтересует
2 года назад
2 года назад
2 года назад
8 лет назад
8 лет назад
9 лет назад