• Предмет: Математика
  • Автор: sofiakozbakova3
  • Вопрос задан 7 лет назад

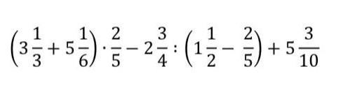
(3 1/3+5 1/6)×2/5-2 3/4÷(1 1/2-2/5)+4 3/10​

Приложения:

Ответы

Ответ дал: treegreen05
0

Ответ:

6 1/5

Пошаговое объяснение:

Решение можно посмотреть на фото

Приложения:
Вас заинтересует