Ответы
Ответ дал:
0
Ответ:
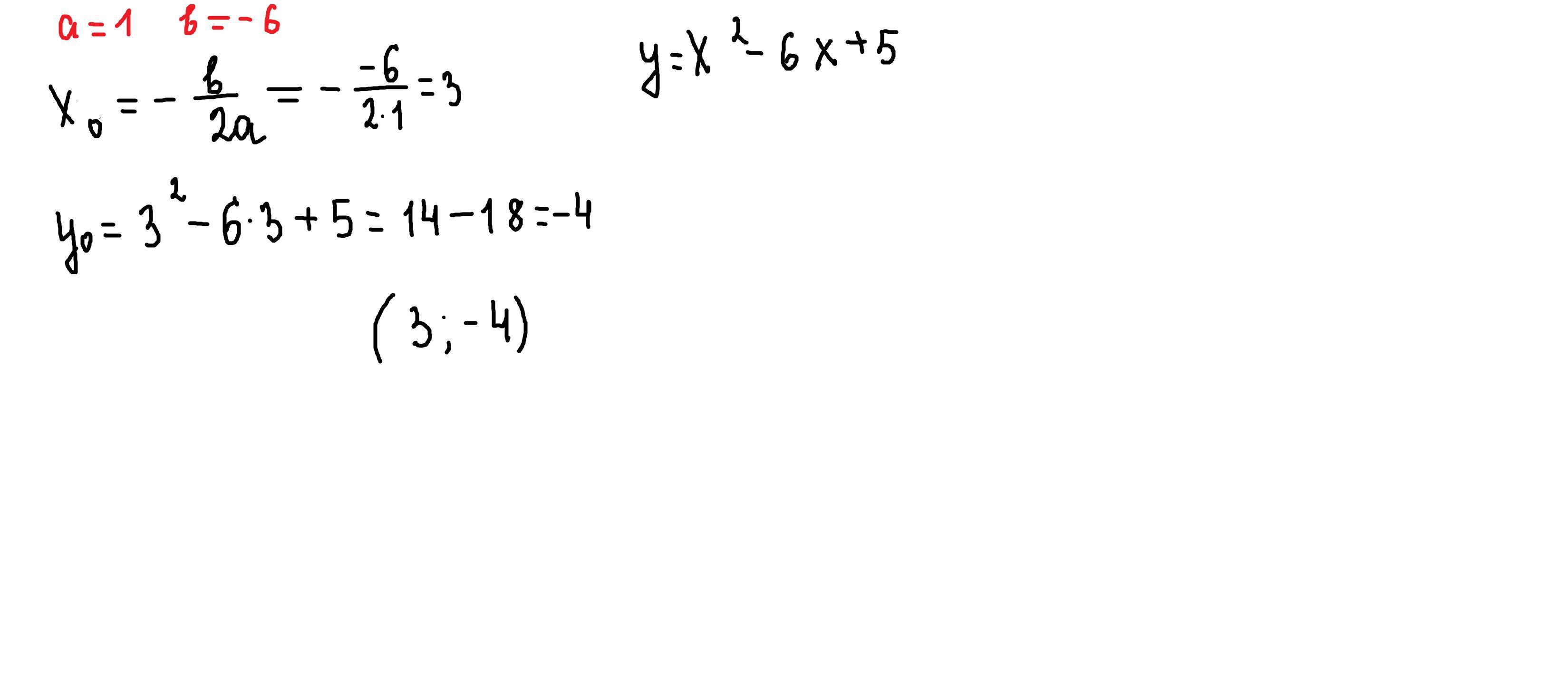
(3;-4) это координата вершины параболы
Объяснение:
Приложения:

Ответ дал:
0
Объяснение:
Ответ: A(3;-4).
Приложения:

Вас заинтересует
2 года назад
8 лет назад
8 лет назад
9 лет назад
9 лет назад