• Предмет: Математика
  • Автор: tuvamen1717
  • Вопрос задан 7 лет назад

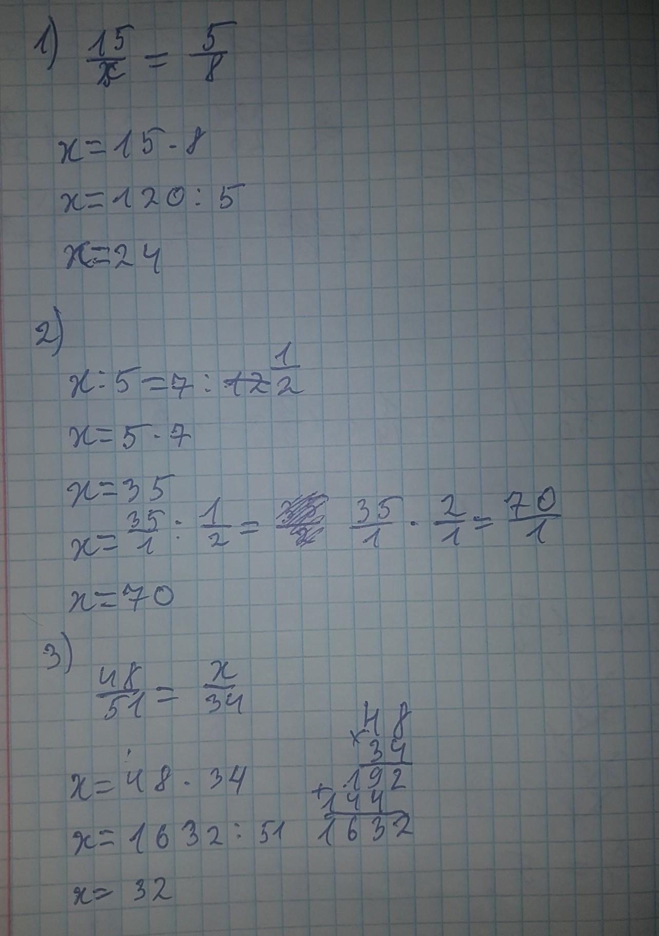
15/x=5/8, x:5=7:1/2, 48/51=x/34, X:1/3=3/4:1/2. помогите плиз​

Ответы

Ответ дал: mashrabxonov2008
0

Ответ:

Смотри вот.............

Приложения:
Вас заинтересует