• Предмет: Алгебра
  • Автор: kuromi90
  • Вопрос задан 7 лет назад

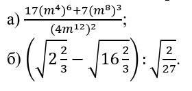
хелп, хелп, хелп
срочно!!!!

Приложения:

Ответы

Ответ дал: Vinevood
1

Решение на фотографии.

Ответ: 6; -9

Приложения:
Вас заинтересует