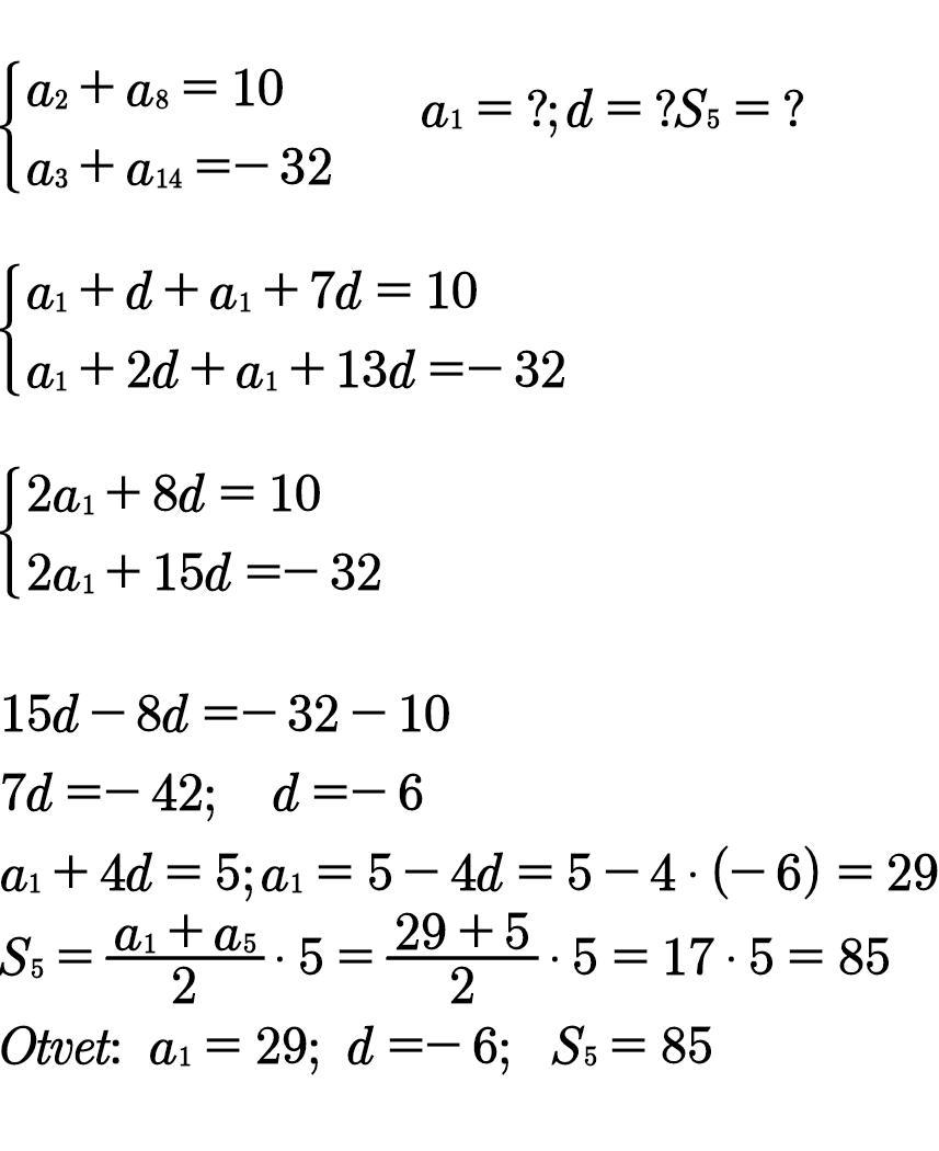
дано в картинке! сумма 2 и 8 членов арифметической прогрессивной равна 10, а сумма 3 и 5 равна -32. найдите 1 член прогрессии и сумму первых 5 членов арифметической прогрессии.
Приложения:

tamarabernukho:
Сумма 3 и 5 или как на фото сумма 3 и 14?
Ответы
Ответ дал:
1
Ответ:
Пошаговое объяснение:
Условие на картинке, решение на фото
Приложения:

Вас заинтересует
2 года назад
2 года назад
2 года назад
9 лет назад
9 лет назад