• Предмет: Математика
  • Автор: poloveckarolina
  • Вопрос задан 7 лет назад

помогите не понимаю что делать​

Приложения:

Ответы

Ответ дал: zhorikyurchenko2
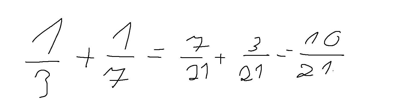
1

Ответ:

10/21

Пошаговое объяснение:

решение приложено на скрине

Приложения:

zhorikyurchenko2: 21 это общий множитель, 21 делится и на 7 и на 3
zhorikyurchenko2: поэтому берём его
zhorikyurchenko2: 21:3=7
zhorikyurchenko2: в первом числе 7
zhorikyurchenko2: 21:7=3
zhorikyurchenko2: во втором числе 3
poloveckarolina: спасибо большое
Вас заинтересует