Ответы
Ответ дал:
0
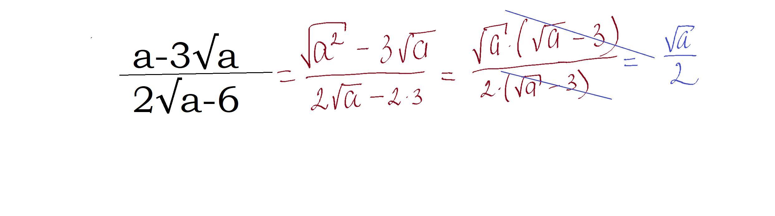
Ответ: решение на фото
Объяснение:
постарайся разобрать , удачи в учебе;)))
Приложения:

Вас заинтересует
2 года назад
2 года назад
2 года назад
8 лет назад
9 лет назад