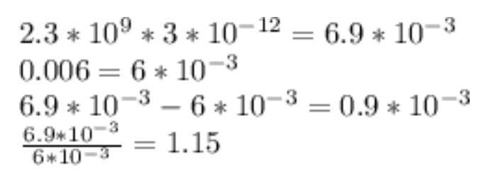
сравните:(2,3(умножить)10^9)(3(умножить)10^-12) и 0,006.
ПОМОГИТЕ ПОЖАЛУЙСТА НАПИШИТЕ НА ЛИСТОЧКЕ!!!!ДАЮ 45 БАЛЛОВ
Ответы
Ответ дал:
1
Ответ:
не очень увера в правильности ответа
Объяснение:
(2.3)*10^9*(3*10^-12) выражение в 1.15 раз больше 0.006
Приложения:

Вас заинтересует
2 года назад
2 года назад
2 года назад
8 лет назад
8 лет назад
9 лет назад