• Предмет: Математика
  • Автор: rianaasylbekova
  • Вопрос задан 7 лет назад

пж помогите, у меня завтра Соч

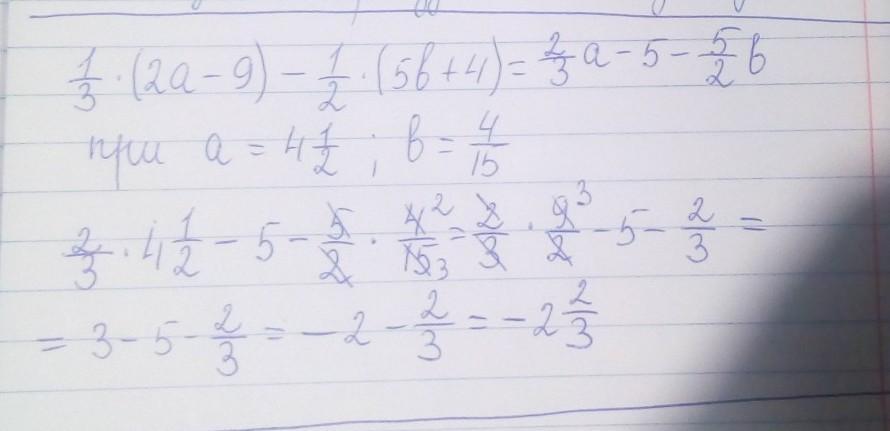
 \frac{1}{3}  \times (2a - 9) -  \frac{1}{2}  \times (5b + 4) =
при а=
4 \frac{1}{2}
при b=
 \frac{4}{15}

Ответы

Ответ дал: Elena3982
0

Пошаговое объяснение:

Тримай свою відповідь.

Приложения:
Вас заинтересует