• Предмет: Алгебра
  • Автор: дашька
  • Вопрос задан 11 лет назад

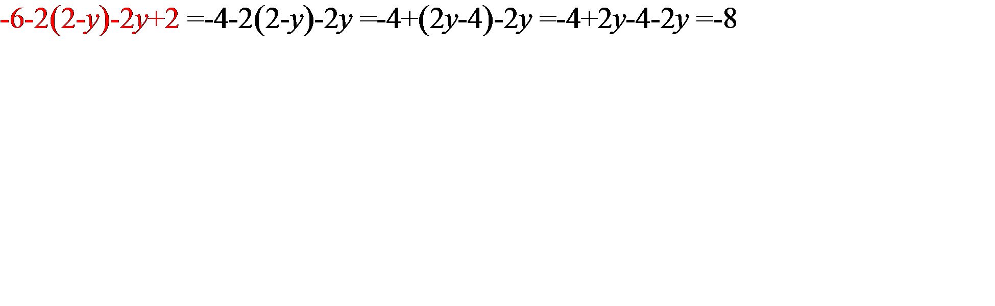
Упростите выражение: -6-2(2-у)-2у+2

Ответы

Ответ дал: Верооника
0

-6-4 + 2 у - 2у+2=-10+2=-8

все просто 

Ответ дал: triolana
0

файл

===========================

Приложения:
Вас заинтересует