• Предмет: Алгебра
  • Автор: Аноним
  • Вопрос задан 11 лет назад

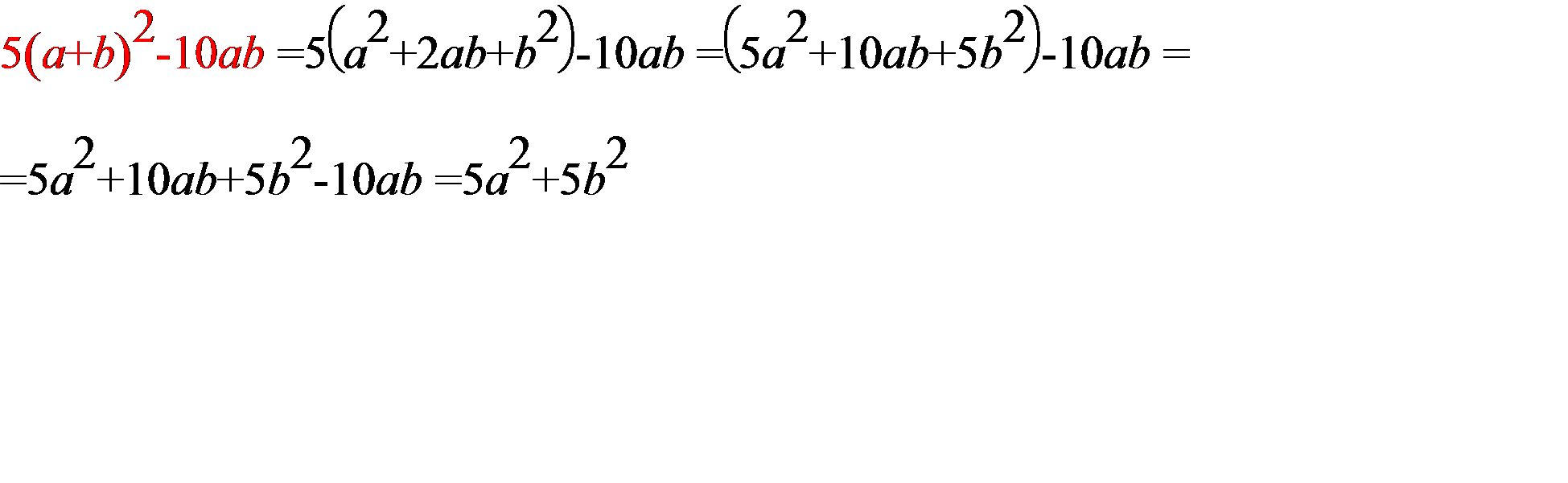
упростите выражение:

5(a+b)^2-10ab=

Ответы

Ответ дал: triolana
0

файл

=====================

Приложения:
Ответ дал: plusha
0

5(a^2 +2ab+b^2)-10ab=5((a^2 +2ab+b^2) -5ab=5(a^2 +b^2 -3ab)=5a^2 +5b^2 -15ab

Приложения:
Вас заинтересует